- 1 Areas of expertise
- 2 Research interests
- 2.1 Memory-efficient algorithm for continental-scale longest flow path computation (ongoing)
- 2.2 Memory-efficient delineation of a large number of watersheds (ongoing)
- 2.3 Memory-efficient fast flow accumulation for large watersheds using OpenMP
- 2.4 Efficient computation of the longest flow path for a large number of watersheds
- 2.5 Isolated-speciation-based particle swarm optimization (ISPSO)
- 3 Research projects
1 Areas of expertise
- Application of GIS to Water Resources Engineering
- Impacts of Climate Change on Infrastructure and Urban Hydrology
- Hydroinformatics
- Machine Learning and Data Science
- Metaheuristic Optimization and Uncertainty Analysis
- Software Development and Internet of Things (IoT)
2 Research interests
Dr. Cho’s research focuses on data-driven approaches for building and operating smart, sustainable, and resilient infrastructure systems. He is also interested in hydrologic modeling and the application of geographic information systems (GIS) to water resources engineering and infrastructure modeling. These research interests encompass a broad range of topics in computational hydrology including statistical methods of predicting extreme hydrologic events such as floods and droughts, model optimization, uncertainty estimation in the model parameters and outputs, leveraging vast geospatial information available online for hydrologic simulation and forecasting, etc.
2.1 Memory-efficient algorithm for continental-scale longest flow path computation (ongoing)
This project will develop an memory-efficient algorithm for continental-scale longest flow path computation.
2.2 Memory-efficient delineation of a large number of watersheds (ongoing)
This project aims to develop and implement an efficient algorithm for delineating a large number of subwatersheds. It will deliver an open-source hydrology tool.
2.3 Memory-efficient fast flow accumulation for large watersheds using OpenMP
Huidae Cho, July 2023. Memory-Efficient Flow Accumulation Using a Look-Around Approach and Its OpenMP Parallelization. Environmental Modelling & Software 167, 105771. doi:10.1016/j.envsoft.2023.105771. SCIE, Author’s Version.
This study introduces a new parallel algorithm for calculating flow accumulation using the OpenMP API. The new algorithm has improved the performance of the fastest benchmark parallel algorithm by 30%.
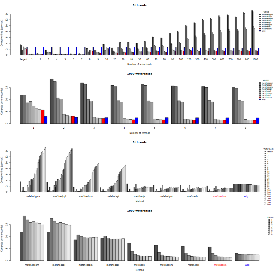
2.4 Efficient computation of the longest flow path for a large number of watersheds
Huidae Cho, September 2020. A Recursive Algorithm for Calculating the Longest Flow Path and Its Iterative Implementation. Environmental Modelling & Software 131, 104774. doi:10.1016/j.envsoft.2020.104774. SCIE, Author’s Version.
The longest flow path plays an important role in hydrologic modeling, but its computation requires multi-step raster calculations for each watershed. This research project aims to improve the current process and efficiency of computing the longest flow path for a lot of watersheds. Its result is available as open-source software called r.accumulate (source code).
2.5 Isolated-speciation-based particle swarm optimization (ISPSO)
Huidae Cho, Dongkyun Kim, Francisco Olivera, Seth D. Guikema, August 2011. Enhanced Speciation in Particle Swarm Optimization for Multi-Modal Problems. European Journal of Operational Research 213 (1), 15-23. doi:10.1016/j.ejor.2011.02.026. SCIE, Author’s Version, R Script.
In this metaheuristic algorithm, particles in an artificial swarm explore and exploit the search space, and find global and local optima. This algorithm was used to find the number of these optima on the surface of the highly multi-modal Griewank function (work cited in Wolfram MathWorld).
$$F7(\vec{x})=\frac{1}{4000}\sum_{i=1}^dx_i^2-\prod_{i=1}^d\cos\left(\frac{x_i}{\sqrt{i}}\right)+1$$

Reproduced from Cho et al. (2011)
3 Research projects
*: Principal Investigator
- Huidae Cho*, November 2020–June 2021. Georgia Statewide Canopy Assessment Phase 2: Canopy Change Analysis 2009–2019. Sponsored by the Georgia Forestry Commission.
- Huidae Cho*, Owen Smith, June 2020–February 2021. Georgia Statewide Canopy Assessment Phase 1.5: Canopy Analysis 2019. Sponsored by the Georgia Forestry Commission.
- Huidae Cho*, Owen Smith, Jennifer McCollum, September 2019–June 2020. Georgia Statewide Canopy Assessment Phase 1: Canopy Analysis 2009. Sponsored by the Georgia Forestry Commission.
- Huidae Cho*, Christopher Pugel, October 2019–Present. Stormwater Modeling and Vulnerability Study of the University of North Georgia Gainesville Campus. Sponsored by the Institute for Environmental and Spatial Analysis.
- Huidae Cho, January–February 2019. Efficient Computation of the Longest Flow Path for a Large Number of Watersheds.
- Jaehyeon Lee, Huidae Cho, Minha Choi, Dongkyun Kim, July–December 2017. Land Surface Modeling for South Korea. Sponsored by Hongik University, South Korea.
- Huidae Cho, Emma Bones, July 2015–May 2016. Analytical Derivation of Uncertainties in the 100-year Flow at an Ungaged Site Near a Gaged Station in Georgia.
- Huidae Cho, Tien Mun Yee, Joonghyeok Heo, January 2015–October 2018. Floodway Optimization Using the HEC-RAS API.
- Huidae Cho, June 2014–May 2015. Development of a Web-Based Hydrologic Modeling System for Texas.
- Dongkyun Kim, Huidae Cho, Christian Onof, Minha Choi, December 2013–March 2016. Development of a Web-Based Regionalized Stochastic Point Rainfall Generator and Its Applicability in Runoff and Flood Modeling. Sponsored by Hongik University, South Korea. http://letitrain.info/.
- Huidae Cho, Dongkyun Kim, Kanghee Lee, October 2013–March 2014. Efficient Uncertainty Analysis of TOPMODEL Using Particle Swarm Optimization. Sponsored by the Ministry of Science, ICT and Future Planning Through the National Research Foundation of Korea.
- Huidae Cho, Dongkyun Kim, Kanghee Lee, Jinsu Lee, Dongryul Lee, May–October 2013. Development and Application of a Storm Identification Algorithm That Conceptualizes Storms by Elliptical Shape. Sponsored by the Korea Institute of Construction Technology.
- Joonghyeok Heo, Jaehyung Yu, John R. Giardino, Huidae Cho, September 2011–August 2015. Impacts of Climate Change and Historical Land Cover Change on Water Resources. Sponsored by the Korean Government Through the National Research Foundation of Korea Grant NRF-2012R1A1A1041589.
- Dongkyun Kim, Francisco Olivera, Huidae Cho, Seung Oh Lee, July 2011–January 2013. Effect of the Temporal Variability of Rainfall Statistics on Stochastically Generated Rainfall Time Series.
- Dongkyun Kim, Francisco Olivera, Huidae Cho, Scott A. Socolofsky, October 2009–January 2013. Regionalization of the Modified Bartlett-Lewis Rectangular Pulse Stochastic Rainfall Model.
- Huidae Cho, Francisco Olivera, August 2008–November 2012. Application of Multi-Modal Optimization for Uncertainty Estimation of Computationally Expensive Hydrologic Models. Partially Sponsored by the Ministry of Science and Technology of the Korean Government Through the Korea Science and Engineering Foundation Grant M06-2003-000-10064-0.
- Huidae Cho, Francisco Olivera, August 2007–June 2009. Investigation on the Effect of Spatial Variability of Land Use, Soil Type, and Precipitation on Streamflows in Small Watersheds. Partially Sponsored by the Ministry of Science and Technology of the Korean Government Through the Korea Science and Engineering Foundation Grant M06-2003-000-10064-0.
- Huidae Cho, Francisco Olivera, Seth D. Guikema, September 2007–July 2008. Derivation of the Number of Minima of the Griewank Function. Partially Sponsored by the Ministry of Science and Technology of the Korean Government Through the Korea Science and Engineering Foundation Grant M06-2003-000-10064-0.
- Huidae Cho, Dongkyun Kim, Francisco Olivera, Seth D. Guikema, October 2007–February 2011. Development of a Metaheuristic Optimization Algorithm for Multi-Modal Problems. Partially Sponsored by the Ministry of Science and Technology of the Korean Government Through the Korea Science and Engineering Foundation Grant M06-2003-000-10064-0.
- Francisco Olivera*, Huidae Cho, April 2005–May 2008. Control of Nonpoint Source Loads in the Hickory Creek Sub-basin of the Lake Lewisville Watershed as a Component of a Watershed-Based Water Quality Trading Program. Sponsored by the Texas Commission for Environmental Quality Through the City of Denton.
- Francisco Olivera*, Huidae Cho, January 2004–March 2005. Incentives for Action: Incorporating Trading Options Into Watershed Improvement Plans for Lake Lewisville Phase II. Sponsored by the U.S. Environmental Protection Agency.
- Huidae Cho, June 2000–February 2001. Integration of a Distributed Hydrologic Model within GRASS GIS. Sponsored by Kyungpook National University, South Korea.
- Sangho Kim, Huidae Cho, February 2001. Development of a Graphical User Interface (GUI) for the Unsteady/Uncertainty Water Quality Model (UUWQM). Sponsored by Kyungpook National University, South Korea.










